You are here: Home / Blogs / Abandoned Crab Shells Transformed into Multifunctional Aerogels: Possessing Excellent Thermal Insulation, Sound Absorption And Antibacterial Properties

Abandoned Crab Shells Transformed into Multifunctional Aerogels: Possessing Excellent Thermal Insulation, Sound Absorption And Antibacterial Properties

Views: 100     Author: Site Editor     Publish Time: 2026-04-13      Origin: Site

Inquire

facebook sharing button
twitter sharing button
line sharing button
wechat sharing button
linkedin sharing button
pinterest sharing button
whatsapp sharing button
kakao sharing button
snapchat sharing button
telegram sharing button
sharethis sharing button

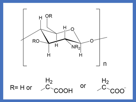
A research achievement published in the field of materials science has demonstrated a new approach to preparing novel functional materials using natural polymer derivatives. Researchers, using carboxymethyl chitosan as the precursor, successfully developed a multifunctional aerogel with a honeycomb-like structure, which simultaneously exhibits outstanding thermal insulation, sound absorption and antibacterial properties.

Carboxymethyl chitosan is derived from chitosan extracted from the shells of crustaceans such as crabs and shrimps, and is a renewable resource with good biocompatibility and natural antibacterial activity. The research team, through simple process control, enabled the material to self-assemble into a highly ordered honeycomb-like porous structure. This biomimetic structure not only provides the material with extremely low density and high porosity, but also lays the foundation for its multifunctional applications.

In performance tests, the aerogel demonstrated significant thermal insulation capabilities. Its porous network effectively restricts air flow and heat conduction, making it a potential material for efficient insulation. Additionally, due to the interconnected microporous channels, the material shows good sound wave dissipation ability across a wide frequency range, making it suitable for noise control and acoustic environment optimization. Moreover, the antibacterial properties derived from carboxymethyl chitosan are retained in the aerogel, giving it an additional advantage in humid or hygiene-sensitive environments.

This research provides a feasible strategy for converting low-cost biomass resources into high-value functional materials. In the future, this green aerogel is expected to play an active role in fields such as green buildings, medical protection, and environmental purification, combining sustainable development concepts with practical application value.


Tel

+86-531-6310-3628

Address

Yinfeng International Biocity A7, Jinan, Shandong, China

ABOUT US

Jinan Xinzhiyuan Biotechnology Co., Ltd. is a high-tech enterprise specializing in new materials, including pharmaceutical excipients and cosmetic ingredients, relying on the support of Shandong Binzhou Zhiyuan Biotechnology Co., Ltd.

QUICK LINKS

PRODUCT CATEGORY

CONTACT US

Copyright © 2025 Jinan Xinzhiyuan Biotechnology Co., Ltd. All Rights Reserved.|SitemapPrivacy Policy