You are here: Home / Blogs

BLOGS

  • Xinzhiyuan Bio Invites You To API China 2026 in Shanghai | Booth: 2.1G09

    2026-04-30

    The 94th China International Pharmaceutical Ingredients, Intermediates, Packaging, and Equipment Fair (API China) will grandly open at the National Exhibition and Convention Center (Shanghai) from May 13 to 15, 2026.Jinan Xinzhiyuan Bio will bring a strong cross-functional team from business, qualit Read More
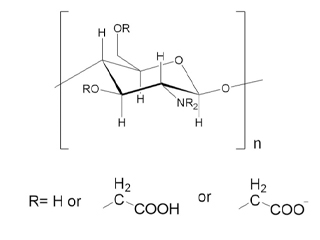
  • Carboxymethyl Chitosan: A Natural Biopolymer Leading The New Revolution in Biomedical Materials

    2026-05-14

    Carboxymethyl chitosan (CMC), as the flagship derivative of chitosan modified by carboxymethylation, is becoming a research hotspot in the field of biomedicine due to its excellent performance. The international authoritative journal "International Journal of Biological Macromolecules" summarizes th Read More
  • Xinzhiyuan Biotechnology Debuts at In-Cosmetics Global 2026 in Paris // Booth No.: 2D40

    2026-03-31

    From April 14 to 16, In-Cosmetics Global 2026 will open at the Paris Expo Porte de Versailles. Zhiyuan Bio-tech from Binzhou, Shandong, will present a range of core innovative beauty ingredients (Booth 2D40), inviting global industry peers to explore trends and discuss collaboration.Core Exhibited P Read More
  • Hydroxypropyl Chitosan: A New Star in Biomaterials, Opening A New Chapter in Multi-field Applications

    2026-04-22

    Introduction: The field of biomaterials has witnessed a breakthrough with the modified natural polymer "hydroxypropyl chitosan" (HPCS), which, with its outstanding performance, is demonstrating great potential in high-end pharmaceuticals, advanced medical devices, and functional cosmetics, leading t Read More
  • Abandoned Crab Shells Transformed into Multifunctional Aerogels: Possessing Excellent Thermal Insulation, Sound Absorption And Antibacterial Properties

    2026-04-13

    A research achievement published in the field of materials science has demonstrated a new approach to preparing novel functional materials using natural polymer derivatives. Researchers, using carboxymethyl chitosan as the precursor, successfully developed a multifunctional aerogel with a honeycomb- Read More
  • Novel Dual-Crosslinked Hydrogel Developed for Innovative Local Treatment of Periodontitis

    2026-04-07

    Recently, important progress has been made in a research study on the treatment of periodontitis. Using hydroxypropyl chitosan (HPCS) and poly(vinyl alcohol) (PVA) as raw materials, researchers have successfully developed a dual-crosslinked network hydrogel with injectability, self-healing ability a Read More
  • Happy New Year

    2026-01-01

    With the arrival of the New Year, everything is renewed.On the occasion of this New Year,Zhiyuan Biotechnology & Xinzhi Yuan Biotechnologyextend our sincere New Year greetings to all our partners,customers, friends, and colleagues who have always supported and cared for us.In the past year, we are d Read More
  • Carboxymethyl Chitosan Is Leading A Wave of Innovation in Medicine And Environmental Protection

    2026-01-28

    Chitosan itself originates from the shells of crustaceans such as shrimp and crabs and is the second largest natural polysaccharide after cellulose in terms of reserves in nature. However, the insolubility of ordinary chitosan in water greatly limits its application scope. Through chemical modificat Read More
  • Total 7 pages  Go to Page
  • Go

Tel

+86-531-6310-3628

Address

Yinfeng International Biocity A7, Jinan, Shandong, China

ABOUT US

Jinan Xinzhiyuan Biotechnology Co., Ltd. is a high-tech enterprise specializing in new materials, including pharmaceutical excipients and cosmetic ingredients, relying on the support of Shandong Binzhou Zhiyuan Biotechnology Co., Ltd.

QUICK LINKS

PRODUCT CATEGORY

CONTACT US

Copyright © 2025 Jinan Xinzhiyuan Biotechnology Co., Ltd. All Rights Reserved.|SitemapPrivacy Policy