ABOUT US

The Source of Innovation & The Power of Future
Jinan Xinzhiyuan Biotechnology Co., Ltd. is a high-tech enterprise specializing in new materials, including pharmaceutical excipients and cosmetic ingredients, relying on the support of Shandong Binzhou Zhiyuan Biotechnology Co., Ltd. The company is distinguished by its superior product quality and forward-looking development philosophy. Leveraging the scientific research capabilities of top domestic universities such as Fudan University, Nankai University, and Shandong University, it has established an internationally competitive research team.
0+
Cover an area
0+
Building area
0+
million
Fixed assets

OUR ADVANTAGES

 
Advantages of Strategic Alliance
 
Forming an advanced strategic alliance with Shandong Binzhou Zhiyuan Biotechnology, we share technology and resources to successfully incubate high-quality, high-barrier new materials, including hydroxypropyl chitosan, carboxymethyl chitosan, and succinyl chitosan.
 
Advantages of Industrial Clustering
 
Located in Jinan, the area boasts a large-scale and well-developed biopharmaceutical and health industry. For instance, Jinan High-Tech Zone has been approved as Shandong Province’s first "cosmetics industry cluster." With a well-established industrial ecosystem, companies collaborate and share resources, reducing trial-and-error costs and providing NewSource Biotech with an excellent development environment.
 
Advantages in R&D
 
The chitosan-based new materials developed, such as hydroxypropyl chitosan, demonstrate excellent antibacterial activity and biocompatibility, with broad applications. This showcases the company's strong capabilities in biotechnological material research and development.
 
Talent Resource Advantages
 
Jinan is home to numerous universities and research institutions, offering NewSource Biotech abundant professional talent resources. This facilitates industry-academia-research collaborations, enhancing the company's innovation capacity and technological advancement.
 
Policy Support Advantages
 
The government supports emerging industries like biopharmaceuticals with policies such as tax incentives, project subsidies, and R&D funding. As a key player in the field, NewSource Biotech is poised to benefit from these measures, driving its growth and development.

HOT PRODUCTS

Is a high-tech enterprise specializing in new materials, including pharmaceutical excipients and cosmetic ingredients
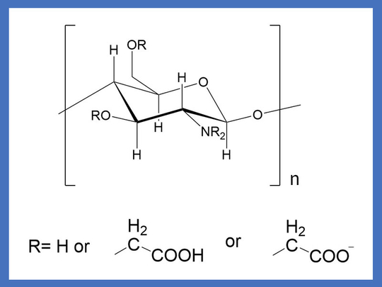
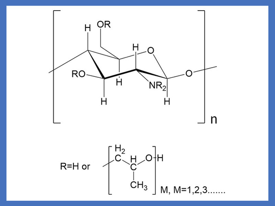
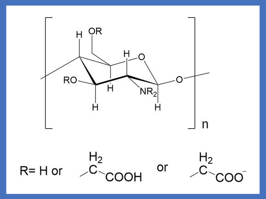
Hydroxypropyl Chitosan
CAS NO.: 104673-29-2
Hydroxypropyl chitosan is one of the derivatives of chitosan. The introduction of hydroxypropyl groups makes chitosan more water-soluble. Hydroxypropyl chitosan is widely used in drug sustained-release systems and tissue engineering scaffolds due to its good biocompatibility and biodegradability, also in cosmetics, environmental protection etc..
View More
Carboxymethyl Chitosan
CAS NO.: 83512-85-0
Carboxymethyl chitosan is a water-soluble derivative of chitosan. The introduction of carboxymethyl makes it an amphoteric polyelectrolyte containing both amino and carboxyl groups, which destroys the original crystal structure of chitosan, improves its solubility adaptability, and has good biocompatibility and biodegradability.
View More
Succinyl chitosan
CAS NO.: 73667-50-2
Succinylated chitosan is an acylated derivative of chitosan from marine organisms, within good biocompatibility. It not only inherits many unique physical and chemical properties of chitosan, such as biodegradability, film-forming property and cell affinity, but also changes the shortcomings of chitosan, which is insoluble in water and common organic solvents.
View More
40% Water-Soluble Salicylic Acid
Salicylic acid, a fat-soluble organic acid represented by the chemical formula C7H6O3, exists as a white crystalline powder that melts at a temperature range of 158 to 161 degrees Celsius. This compound is naturally occurring in willow bark, white pearl leaves, and sweet birch trees, serving as a crucial raw material in the production of fine chemicals.
View More
50% Salicylic Acid Inclusion Complex
The 50% concentration inclusion complex of salicylic acid provides controlled release on the skin's surface, maintaining optimal localized concentration for effectiveness while reducing irritation and side effects. This formulation ensures a gentle yet potent action, delivering the benefits of salicylic acid effectively and safely.
View More
10% Water-Soluble Salicylic Acid Inclusion Complex
The 10% Water-soluble Salicylic acid inclusion complex is suitable for formulating skincare or pharmaceutical products intended for skin application, including emulsions, creams, and aqueous solutions. Its applications include antimicrobial properties, anti-itching effects, pore cleansing, promoting keratin renewal, and exfoliation.
View More
40% Water-Soluble Azelaic Acid
The Water-soluble Azelaic acid inclusion complex is created by enveloping azelaic acid with cyclodextrin derivatives. In contrast to pure azelaic acid, this complex minimizes skin and mucous membrane irritation caused by organic molecules, boosts the durability of active components, and safeguards nutrients from evaporation and oxidation.
View More
60% Water-Soluble Azelaic Acid
Based on FDA drug classification standards, azelaic acid is categorized as a Class B drug, deemed safe for use during pregnancy and breastfeeding. It functions by inhibiting the generation and impact of reactive oxygen species, contributing to the anti-inflammatory properties and diverse therapeutic benefits of medications. Moreover, through the reduction of filamentous keratin synthesis, 60% Water-soluble Azelaic acid effectively decreases excessive keratinization in hair follicles and exhibits excellent skin permeability.
View More
10% Water-Soluble Salicylic Acid Inclusion Complex
The 10% Water-soluble Salicylic acid inclusion complex is suitable for formulating skincare or pharmaceutical products intended for skin application, including emulsions, creams, and aqueous solutions. Its applications include antimicrobial properties, anti-itching effects, pore cleansing, promoting keratin renewal, and exfoliation.
View More
Chitosan Succinamide(Cosmetic Grade)
CAS NO.: 73667-50-2
Succinylated chitosan is an acylated derivative of chitosan from marine organisms, within good biocompatibility. It not only inherits many unique physical and chemical properties of chitosan, such as biodegradability, film-forming property and cell affinity, but also changes the shortcomings of chitosan, which is insoluble in water and common organic solvents.
View More
Carboxymethyl Chitosan(Cosmetic Grade)
CAS NO.: 83512-85-0
Carboxymethyl Chitosan is a significant water-soluble derivative of chitosan, known for its wide range of medical applications, including aiding in wound healing, promoting hemostasis, preventing scarring, providing pain relief, and exhibiting antibacterial properties. Beyond medicine, it also finds extensive use in the chemical, environmental, and dietary supplement industries.
View More
Hydroxypropyl Chitosan(Cosmetic Grade)
CAS NO.: 104673-29-2
Hydroxypropyl Chitosan primarily functions as a thickening agent and film-forming agent in cosmetics and skincare products. It has a low-risk rating of 1, making it safe for use. It generally has no adverse effects on pregnant individuals and is non-comedogenic, meaning it does not cause acne. Hydroxypropyl Chitosan serves as a thickening agent and film-forming agent.
View More

DIGITAL SHOWROOM

If you want to learn more about our manufacturing capabilities, you can click on the avatar in the scene, or accept my invitation!

APPLICATIONS

Antibacterial Finishing
In the textile industry, hydroxypropyl chitosan is widely used in the preparation of antibacterial finishes. By combining it with appropriate crosslinking agents, treated textiles can effectively inhibit the growth...
Antibacterial Treatment of Textiles
Antibacterial Finishing
Tissue Engineering
In tissue engineering, hydroxypropyl chitosan is used to prepare skin repair materials due to its excellent film-forming ability and biocompatibility. When combined with bioactive substances like collagen...
Skin Repair Materials
Tissue Engineering
Biocompatible Materials
Hydroxypropyl chitosan, due to its excellent biocompatibility and degradability, is widely used in the preparation of biomedical implants. These implants, such as artificial bones, cartilage, and blood vessels
Biomedicine Implant Materials
Biocompatible Materials
Drug Delivery System
Due to its excellent biocompatibility and degradability, hydroxypropyl chitosan is an ideal choice for drug delivery systems. In controlled release formulations, hydroxypropyl chitosan can encapsulate or adsorb drug molecules...
Controlled Release Drug Formulation
Drug Delivery System
Paper Additives
In the paper industry, hydroxypropyl chitosan is used as a paper additive to significantly improve paper strength and water resistance. By adding an appropriate amount of hydroxypropyl chitosan to the pulp...
Enhancing Paper Strength and Water Resistance
Paper Additives
Hemostatic Materials
Hydroxypropyl chitosan, with its excellent water absorption, retention properties, and ability to promote coagulation, is an ideal hemostatic material. In surgical operations, hydroxypropyl chitosan hemostatic sponges can quickly absorb exudates from wounds...
 
Surgical Hemostatic Sponges
Hemostatic Materials

LATEST NEWS

Latest News

Xinzhiyuan Biotechnology & Zhiyuan Biotechnology jointly celebrate the Motherland's Birthday.

This year, the Mid-Autumn Festival and National Day holidays merge, creating a vibrant and full-moon Mid-Autumn Festival and a national birthday celebration. On this rare occasion of the double holidays, Binzhou Zhiyuan Biotechnology Co., Ltd. and its subsidiary, Jinan Xinzhiyuan Biotechnology Co.,

Oct 01, 2025
Oct 01, 2025

Azelaic Acid in Skincare: Benefits, Uses, And Effectiveness

Skincare has evolved significantly over the past few decades, with both dermatologists and consumers placing increasing emphasis on active ingredients backed by science. Among the many ingredients now popular in modern formulations, azelaic acid has earned its reputation as a multi-tasking powerhouse. Unlike trendy ingredients that rise and fall in popularity, azelaic acid has decades of clinical research to support its efficacy and safety.

Sep 20, 2025
Sep 20, 2025

Application of Hydroxypropyl Chitosan in Oxidized Sodium Alginate Medical Hydrogel Dressing

Hydroxypropyl Chitosan (HPCS), as an important derivative of chitosan, has shown wide application value in many fields due to its unique physical and chemical properties and excellent biological activity.

Jan 19, 2025
Jan 19, 2025

The Application Prospects of Hydroxypropyl Chitosan

Hydroxypropyl Chitosan (HPCS), as an important derivative of chitosan, has shown wide application value in many fields due to its unique physical and chemical properties and excellent biological activity.

Jan 19, 2025
Jan 19, 2025

Carboxymethyl Chitosan Use Cases

Hydroxypropyl Chitosan (HPCS), as an important derivative of chitosan, has shown wide application value in many fields due to its unique physical and chemical properties and excellent biological activity.

Jan 19, 2025
Jan 19, 2025

Hydroxypropyl Chitosan Use Cases

Hydroxypropyl Chitosan (HPCS), as an important derivative of chitosan, has shown wide application value in many fields due to its unique physical and chemical properties and excellent biological activity.

Jan 19, 2025
Jan 19, 2025

Tel

+86-156-2892-7619

Address

Yinfeng International Biocity A7, Jinan, Shandong, China

ABOUT US

Jinan Xinzhiyuan Biotechnology Co., Ltd. is a high-tech enterprise specializing in new materials, including pharmaceutical excipients and cosmetic ingredients, relying on the support of Shandong Binzhou Zhiyuan Biotechnology Co., Ltd.

QUICK LINKS

PRODUCT CATEGORY

CONTACT US

Copyright © 2025 Jinan Xinzhiyuan Biotechnology Co., Ltd. All Rights Reserved.|SitemapPrivacy Policy